図2-1-6のRLC回路についてSWを通電させた際の過渡電流 i をラプラス変換を使って求めてみましょう.コイルL,抵抗R,コンデンサCそれぞれにかかる電圧をvL,vR,vCとすると式2-1-23の関係があります.
 |
式2-1-23 |
 |
上式からvL,vC,vR を消すと
 |
式2-1-24 |
ラプラス変換すると
 |
式2-1-25 |
q(0) はt=0 におけるコンデンサC の充電電荷でq(0)=0 ,またi(0) はt=0 におけるコイルL の電流でi(0)=0 とすると,I(s)は式2-1-26のようになります.
 |
式2-1-26 |
ここからラプラス逆変換をして時間領域の関数に戻します.
この式のままではラプラス変換表(表2-1-3,表2-1-4) にぴったり適合するものはありません.この式に変更を加えて表に適合する形をつくる必要があります.そこで,I(s) の分母を因数分解し,部分分数をつくることによって表2-1-3 の4(下表参照)に適合する形をつくっていきます.
| No |
f(t) |
F(s) |
| 4 |
eat |
 |
表2-1-3抜粋
まず式2-1-26 の分母を因数分解して(s-α)(s-β)の形をつくり,部分分数に分解していきます.
 |
式2-1-27
|
ここで,各パラメータ(A,B,α,β)を計算していきます.
この式中のα,β は2 次方程式の解として与えられるので,仮にs に関する2次方程式をs2+bs+c=0 としたとき,α およびβ は式2-1-28の関係があります.
| α,β= |
 |
式2-1-28 |
つづいて式2-1-27 のA,B について求めます.A,B は式2-1-27を分母を共有化して式2-1-26のもとの形に戻したとき,それぞれの項(s2+bs+cのb,c)に対応して等式をつくることによって求めることができます.
 |
式2-1-29 |
式2-1-29の分子と式2-1-26の分子を対応させて,s(A+B)+(-Aβ-Bα)=0s+1とすると
 |
式2-1-30 |
これを解くとA,Bは
 |
式2-1-31 |
となります.ちなみに部分分数におけるA,B を留数(1) といいます. つづいてαおよびβは,式2-1-28より
 |
式2-1-32 |
つづいて式2-1-27にA,B(式2-1-31)を代入するとI(s)は,
 |
式2-1-33 |
この形になれば,表2-1-3 の4に適合するのでラプラス逆変換ができます.ラプラス逆変換すると
 |
式2-1-34 |
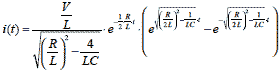
α,βを代入すると

 |
式2-1-35 |
過渡電流 i を求めることができました.
← 戻る 1
2 次へ →
【質問】2008/11/02
交流回路に対しても,ラプラス変換で解析できるのでしょうか. つまり,ラプラス変換によって,電流を時間依存の函数として記述できるのでしょうか.お願いします.
【回答】2008/11/10
回答をこちらに掲載しました.→交流回路へのラプラス変換の応用
|