by Google   WWW   サイト内 
抵抗の合成2

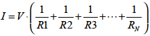
図1-2-5 は定電圧源に複数の抵抗を並列に接続した回路図です.この系の合成抵抗をRA としたとき個々の抵抗との関係は式1-2-14 のようになります.

 

(1)並列抵抗の合成についての解説

図1-2-5 のような複数の抵抗が並列に接続された系について合成抵抗を求めます.

並列に接続されているR1 からRN の抵抗には電圧源V の電圧がかかります.そのときに各抵抗に流れる電流をオームの法則によって求めます.さらに個々の抵抗に流れる電流からそれらの和を求め合成抵抗に流れる電流を求めます.その合成抵抗に流れる電流および与えた電圧より再びオームの法則によりRAを導きます.

まず,構成されるx 番目の抵抗をRx とすると,Rx に流れる電流IRx は次のようになります.
 IRX = V / Rx
つぎに,合成抵抗に流れる電流は個々の抵抗に流れる電流の和から求まるので次のようになります.
 I =IR1 +IR2+IR3 +・・・+IRN
 
  −−−(1)
合成抵抗を一本の抵抗としてオームの法則より求めると次のようになります.
 RA = V /I  −−−(2)
(1)(2)式より,
 
となります.このように合成抵抗RA は上式のような関係になります.
 

← 戻る  1  2  次へ →


▲ページの先頭へ



E系列抵抗による抵抗の合成 合成したい抵抗値があらかじめ決まっていて,その抵抗値を一般メーカのE系列ラインアップの抵抗を使って直列あるいは並列接続によって構成する場合の抵抗選定ツールです


系列[?]  : (通常ラインアップは24)
N 本数  :本(2〜99)
Ra 抵抗値:Ω(10〜1000M)

技術系ツール > 各種抵抗計算

類似:コンデンサの合成
コイルの合成

免責事項 ©2008 OKAWA Electric Design