by Google
WWW
サイト内
Top
>
Techdoc
>
エミッタ容量CibとhFEの周波数特性の関係
> エミッタ容量Cibとib(s)/iB(s)伝達関数の算出
技術系ツール
エミッタ容量Cibとib(s)/iB(s)伝達関数の算出
図3-3-20 ベース−エミッタ間の抵抗モデル
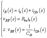
式3-3-8 計算過程
v
BE
:ベース−エミッタ間電圧
R
be
[Ω]:ベース−エミッタ間抵抗値
Cib
[F]
:エミッタ容量
i
B
[A]
:ベース電流
i
b
[A]
:Cib電流除くベース電流
i
Cib
[A]
:Cib電流
dv
BE
/
di
b
を時間関数微分に変換して示すと
上式をラプラス変換すると
↓
↓
上式より
i
b
(
s
)/
i
B
(
s
)
の伝達関数は
式3-3-8
R
be
[Ω]:ベース−エミッタ間抵抗値
Cib
[F]
:エミッタ容量
i
B
[A]
:ベース電流
i
b
[A]
:Cib電流除くベース電流
戻る
▲ページの先頭へ
免責事項
©2008
OKAWA
Electric Design