by Google
WWW
サイト内
Top
>
Techdoc
>
ラプラス変換の定義
>
ラプラス変換の定義2
技術系ツール
ラプラス変換の定義2
ラプラス変換の定義
(式2-1-8:下記)を使って,実際に次に示す時間関数の例を使ってラプラス変換をしてみます.
@具体的な時間関数をラプラス変換します.
時間関数
ラプラス変換例
f(t) = 1
f(t) = t
f(t) = e
at
s>a とすると,
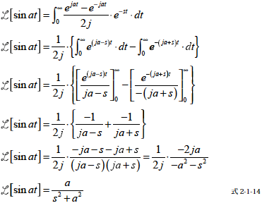
f(t)= sin at
であることから
表2-1-1
A一般関数を含むラプラス変換
時間関数
ラプラス変換例
af(t)
f(t)+g(t)
f '(t)
g(t)=
とすれば
g'(t)=f(t),さらに
より式2-1-17 に代入すると
← 戻る
1
2
次へ →
▲ページの先頭へ
免責事項
©2008
OKAWA
Electric Design