フーリエ級数のセクションでは,周期関数について直流成分,sin とcos の要素に分解して抽出してきました.ここではそれらの要素を複素数を使うことで統一したパラメータで表現します.
次に示す数式は,複素数によるフーリエ級数展開とフーリエ係数です.
| フーリエ級数展開 |
 |
式2-2-7 |
|
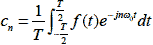
| フーリエ係数 |
 |
式2-2-8 |
|
ただし n=・・・-2,-1,0,1,2・・・
ここでcnを(複素)スペクトルと言います.式2-2-8によって求められるスペクトルは周波数成分の大きさの他,位相情報も含みます.
式2-2-8
複素フーリエ係数について解説 |
| つづいてフーリエ係数の関係式(式2-2-2)(an,bn)からcnを求めていきます.まず,式2-2-10に式2-2-2を代入すると
|
|
|
ここでオイラーの関係式
|
|
|
より
|
 |
ただし n=1,2,3,・・・
式2-2-13 |
|
|
ここで,nの範囲を負の領域に広げ,n=1,2,3,・・・から n=・・・-2,-1,0,1,2・・・として,式2-2-13の両式を統合することができます.
すると
cnは
|
 |
ただし n=・・-2,-1,0,1,2・・
式2-2-14
|
|
| と示すことができます.
|
|